c149. B. 新鮮人小祥的套件難題
Tags : DFS tree 圖論 遞迴
Accepted rate : 0人/1人 ( 0% ) [非即時]
評分方式:
Tolerant

最近更新 : 2025-09-16 20:59

Content

"小祥是個程式天才,因此他高中畢業後便決定出國深造,來到遙遠的ㄏㄏ國,並進入當地最頂尖的國立天才大學(National Tiantsai University, NTU)就讀"

經過大學有趣又充實的生活後,小祥順利進入了當地最頂尖的科技公司任職。身為一個大天才,他理所當然被分派到整個公司最重要的部門:關鍵系統套件維護組,負責維護和升級公司內部龐大的軟體系統。 


這個系統由若干個相互依賴的套件所組成,其結構呈現一棵以核心套件為根的樹狀結構。除了最上層的核心套件外,每一個套件都依賴一個 母套件 才能正常運作。如果某個母套件發生錯誤,不僅它自己會失效,所有依賴它的子套件也會無法運行,甚至可能導致整個系統崩潰。


對於剛入職的小祥來說,因為沒有實際面對過如此龐大且複雜的系統,小祥決定先進行全面的風險評估。他整理出了系統中所有的套件依賴關係,發現每個套件都有自己的編號(其中核心套件的編號為 $1$),而公司儲存套件依賴的方式是紀錄 每個套件的母套件編號(除了核心套件)。現在小祥想要知道,每個套件會有多少個子套件會直接或間接受到它的影響,以便衡量修改一個套件會帶來的潛在影響範圍,但由於套件的資料實在是太多了,因此請你寫一筆程式幫助他解決這個問題。

※Update:

2025/09/13 因 zerojudge 系統遞迴層數限制,正確的程式可能無法通過第 0,5,12 筆測資。

2025/09/16 刪除第 0,5,12 筆測資,並提供 原題網址 供參考及驗證答案正確性。

Input
$N$
$B_1$ $B_2$ $B_3$ $\dots$ $B_{N-1}$

 

  • $1\le N\le 2 \times 10^5$
  • $N$ 表示 總套件數
  • $1\le B_i\le N \ (1 \le i < N)$
  • $B_i$ 表示編號 $i+1$ 的套件的母套件編號
Output
$ans_1$ $ans_2$ $\dots$ $ans_N$

 

  • 輸出 $N$ 個整數,其中 $ans_i$ 表示編號為 $i$ 的套件的子套件數量。
Sample Input #1
5
1 1 2 3
Sample Output #1
4 1 1 0 0
Sample Input #2
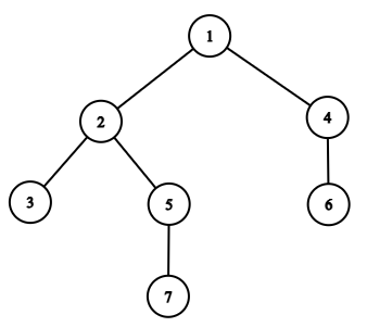
7
1 2 1 2 4 5
Sample Output #2
6 3 0 1 1 0 0
Sample Input #3
6
1 2 3 4 5
Sample Output #3
5 4 3 2 1 0
測資資訊:
記憶體限制: 256 MB
公開 測資點#0 (5%): 1.0s , <1K
公開 測資點#1 (5%): 1.0s , <1K
公開 測資點#2 (6%): 1.0s , <1K
公開 測資點#3 (6%): 1.0s , <1M
公開 測資點#4 (6%): 1.0s , <10M
公開 測資點#5 (6%): 1.0s , <1K
公開 測資點#6 (6%): 1.0s , <1K
公開 測資點#7 (6%): 1.0s , <1K
公開 測資點#8 (6%): 1.0s , <10M
公開 測資點#9 (6%): 1.0s , <1K
公開 測資點#10 (6%): 1.0s , <1M
公開 測資點#11 (6%): 1.0s , <1M
公開 測資點#12 (6%): 1.0s , <1M
公開 測資點#13 (6%): 1.0s , <1M
公開 測資點#14 (6%): 1.0s , <1M
公開 測資點#15 (6%): 1.0s , <1M
公開 測資點#16 (6%): 1.0s , <1M
Hint :
  • 在範例 $1$ 中:套件 $1$ 共有 $4$ 個子套件 $2,3,4,5$,套件 $2$ 共有 $1$ 個子套件 $4$,套件 $3$ 共有$1$ 個子套件 $5$,而套件 $4,5$ 沒有任何子套件。

 

 

  • 範例 2 的樹狀結構圖如下:

 

Tags:
DFS tree 圖論 遞迴
出處:
114學年校內能競選拔 [管理者: jackhuang(fijjj) ]


ID User Problem Subject Hit Post Date
沒有發現任何「解題報告」